证券投资基金基础知识公式
1.资产=负债+所有者权益 收入-费用=利润
2.净现金流(NCF)公式:NCF=CFO+CFI+CFF
3.流动比率=流动资产÷流动负债
4.速动比率=(流动资产存货)÷流动负债
5.资产负债率=负债 ÷资产,资产负债率是使用频率最高的债务比率。
6.权益乘数(杠杆比率)=资产÷所有者权益=1 ÷(1-资产负债率)
负债权益比=负债÷所有者权益=资产负债率 ÷(1-资产负债率)
数值越大代表财务杠杆比率越高,负债越重。
7.利息倍数=EBIT÷利息,EBIT是息税前利润。
利息倍数衡量企业对于长期债务利息保障程度。资产负债率、权益乘数和负债权益比衡量的是对于长
期债务的本金保障程度。
8.存货周转率=年销售成本÷年均存货
存货周转天数=365天÷存货周转率
9.应收账款周转率=销售收入÷年均应收账款
应收账款周转天数=365天÷应收账款周转率
10.总资产周转率=年销售收入÷年均总资产
总资产周转率越大,说明企业的销售能力越强,资产利用效率越高。
11.销售利润率=净利润÷销售收入
12.资产收益率=净利润÷总资产
13.净资产收益率(权益报酬率)=净利润÷所有者权益
14.FV=PV×(1+i)n, PV= FV ÷(1+i)n
FV表示终值,即在第n年年末的货币终值;n表示年限;i表示年利率;PV表示本金或现值。
15.ir=in-P
式中:in为名义利率;ir为实际利率;P为通货膨胀率。
16.I=PV×i×t
式中:I为利息;PV为本金;i为年利率;t为计息时间。
17.单利终值的计算公式为:FV=PV×(1+i×t)
18.单利现值的计算公式为:PV=FV÷(1+i×t)≈FV×(1-i×t)
19.贴现因子dt=1÷(1+St)t,其中st为即期利率。
20.市净率(P/B)=每股价格÷每股净资产
21.市现率(P/CF)=每股价格÷每股现金流
22.市销率(P/S)=每股价格÷每股销售收入
23.零息债券估值法

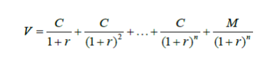
V表示贴现债券的内在价值;M表示面值;r表示市场利率;t表示债券到期时间。
由于多数零息债券期限小于一年,因此上述贴现公式应简单调整为:

24.固定利率债券估值法

25.统一公债估值法
统一公债是一种没有到期日的特殊债券。




29.权益累证券投资的收益:
风险资产期望收益率=无风险资产收益率+风险溢价
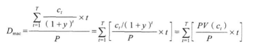
30.久期,麦考利久期,又称存续期


31.各类期权的损益状态:


特雷诺比率

詹森

信息比率

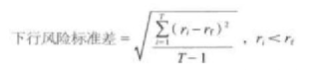
33.下行风险标准差

34. 认购费用和份额
净认购金额=认购金额/(1+认购费率)
认购费用=认购金额-净认购金额
认购份额=(净认购金额+认购利息)/基金份额面值
35.折(溢)价率
折(溢)价率=(二级市场价格–基金份额净值)/基金份额净值×100%
=(二级市场价格/基金份额净值–1)×100%
36.持股集中度的计算公式

37.基金股票换手率

38.绝对收益率
持有区间所获得的收益,通常有两部分组成:资产回报和收入回报。

39. 因送股,配股或派息而形成的剔除行为除权(息)

40.首期、到期资金结算额的计算
在质押式回购中:
首期资金结算额=正回购方融入资金数额
在买断式回购中:
首期资金结算额=(首期交易净价+首期结算日应计利息)×回购债券数量/100
在质押式回购中:
到期资金结算额=首期资金结算额×(1+回购利率×实际占款天数/365)
在买断式回购中:
到期资金结算额=(到期交易净价+到期结算日应计利息)×回购债券数量/100
此文章是由网校哪个好(www.wxngh.com)原创整理,希望能帮助到大家!—— 转载请注明文章来源及原始链接,谢谢合作!